نرخ تورم اقلام خوراکی اعلام شد
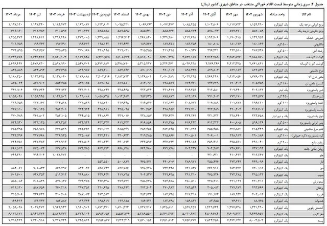
به گزارش نبض بورس، مرکز آمار ایران طی گزارشی، متوسط قیمت کالاهای خوراکی منتخب در مناطق شهری کشور در مرداد ماه سال جاری را منتشر کرده که براساس آن، در این بازه زمانی تغییرات متوسط قیمت اقلام خوراکی منتخب برای گروههای مختلف کالاهای خوراکی در مناطق شهری کشور، به شرح زیر است:
نان و غلات
در این گروه، اقلام «شیرینی خشک» با ۱.۹ درصد و «ماکارونی» با ۱.۲ درصد بیشترین افزایش قیمت را نسبت به ماه قبل داشتهاند. همچنین بیشترین کاهش قیمت مربوط به «رشته آش» با ۲.۹- درصد است.
گوشت قرمز، سفید و فرآوردههای آن
در این گروه، بیشترین افزایش قیمت نسبت به ماه قبل مربوط به اقلام «ماهی قزل آلا» با ۲.۲ درصد و «مرغ ماشینی» با ۱.۳ درصد است.
لبنیات، تخم مرغ و انواع روغن
در گروه لبنیات، تخم مرغ و انواع روغن، بیشترین افزایش قیمت نسبت به ماه قبل مربوط به «دوغ پاستوریزه» با ۲.۴ درصد و «ماست و کره پاستوریزه» با ۱.۵ درصد و همچنین بیشترین کاهش قیمت مربوط به «روغن نباتی جامد» با ۱.۰- درصد است.
میوه و خشکبار
در این گروه، بیشترین افزایش قیمت نسبت به ماه قبل مربوط به «پرتقال» با ۴.۲ درصد و همچنین بیشترین کاهش قیمت مربوط به «هلو» با ۱۶.۳- درصد و «خربزه» با ۶.۲- درصد است.
سبزیجات و حبوبات
در گروه سبزیجات و حبوبات، بیشترین افزایش قیمت نسبت به ماه قبل مربوط به «گوجه فرنگی» با ۱۸.۱ درصد و «بادمجان» با ۱۰.۴ درصد و همچنین بیشترین کاهش قیمت مربوط به «پیاز» با ۳.۲- درصد و «سیب زمینی» با ۲.۱- درصد است.
قند و شکر، آشامیدنیها و سایر خوراکیها
همچنین در گروه قند و شکر، آشامیدنیها و سایر خوراکیها، بیشترین افزایش قیمت نسبت به ماه قبل مربوط به «سس گوجه فرنگی» با ۵.۲ درصد و «قند» با ۴.۷ درصد است. | خبرگزاری ایسنا

جداول متوسط قیمت اقلام خوراکی در مناطق شهری (مردادماه 1403)









