ثبت نام وام یارانه ۴۰۰ میلیونی بدون ضامن | شرایط و دریافت وام با کارت یارانه
به گزارش نبض بورس، در روزهای اخیر، خبر پرداخت وام ۴۰۰ میلیون تومانی با کارت یارانه و بدون ضامن در شبکههای اجتماعی منتشر شده است. این خبر بهسرعت میان خانوارهای کمدرآمد و دهکهای پایین دستبهدست شد و بسیاری از مردم با پرسشهایی مانند:
-
آیا واقعاً میتوان با کارت یارانه وام گرفت؟
-
چه بانکهایی این طرح را اجرا میکنند؟
مواجه شدهاند.
در این گزارش، جزئیات کامل طرح وام یارانه ۴۰۰ میلیونی بدون ضامن، شرایط دریافت، بانکهای عامل، نحوه ثبتنام و میزان اقساط را بررسی میکنیم.
شرایط دریافت وام با کارت یارانه
طرح وام یارانهای، با هدف حمایت از اقشار کمدرآمد و دهکهای پایین، از مهرماه ۱۴۰۴ آغاز شده است. شرایط کلی دریافت این تسهیلات به شرح زیر است:
-
متقاضی باید در دهکهای یک تا سه درآمدی قرار داشته باشد.
-
داشتن حساب فعال یارانه در یکی از بانکهای عامل الزامی است.
-
این وام فقط برای احداث، بازسازی یا مقاومسازی واحد مسکونی پرداخت میشود.
-
نرخ کارمزد سالانه ۵ درصد و مدت بازپرداخت تا ۲۰ سال تعیین شده است.
-
نیازی به ارائه ضامن رسمی نیست؛ کارت یارانه به عنوان وثیقه اعتباری استفاده میشود.
به این ترتیب، خانوارهایی که تا پیشازاین به دلیل نداشتن ضامن از دریافت وامهای بانکی محروم بودند، میتوانند با پشتوانه یارانه نقدی، از تسهیلات ارزانقیمت بهرهمند شوند.
بانکهای عامل پرداخت وام ۴۰۰ میلیونی
طبق اعلام بنیاد مسکن انقلاب اسلامی، پرداخت وام یارانهای ۴۰۰ میلیون تومانی از طریق بانکهای زیر انجام میشود:
-
بانک ملی ایران
-
بانک مسکن
-
بانک صادرات ایران
-
بانک تجارت
-
پستبانک ایران (ویژه مناطق روستایی)
هر بانک با هماهنگی بنیاد مسکن و سازمان برنامهوبودجه، سهمیه مشخصی از این تسهیلات را برای مناطق محروم اختصاص داده است.
جزئیات طرح وام یارانه ۴۰۰ میلیونی بدون ضامن
طرح وام یارانهای ۴۰۰ میلیون تومانی از سوی بانک مرکزی جمهوری اسلامی ایران با هدف تسهیل دسترسی خانوارهای یارانهبگیر به منابع مالی معرفی شده است. در این طرح، سرپرستان خانواری که یارانه نقدی یا سهام عدالت دریافت میکنند، بدون نیاز به ضامن یا سفته میتوانند وام دریافت کنند.
مشمولان طرح
-
سرپرستان خانوار دارای یارانه نقدی یا سهام عدالت
-
متقاضیان دارای حساب فعال یارانه در یکی از بانکهای عامل
-
خانوارهای دهکهای ۱ تا ۳ اقتصادی
مبلغ وام
-
حداکثر مبلغ وام: ۴۰۰ میلیون تومان
نرخ سود و مدت بازپرداخت
-
نرخ سود سالانه: ۱۸ درصد
-
مدت بازپرداخت: ۳ سال (۳۶ ماه)
-
اقساط بهصورت سالانه یا ماهانه از حساب یارانه برداشت میشود.
وثیقه و ضمانت
-
بدون نیاز به ضامن رسمی یا سفته بانکی
-
یارانه نقدی یا سهام عدالت بهعنوان وثیقه اعتباری استفاده میشود.
نحوه ثبتنام و دریافت وام با کارت یارانه
برای دریافت این تسهیلات، متقاضیان باید مراحل زیر را طی کنند:
-
ورود به سامانه رسمی بانک عامل (مانند بانک ملی یا بانک رفاه).
-
انتخاب گزینه «تسهیلات با وثیقه یارانه».
-
احراز هویت با کد ملی سرپرست خانوار.
-
ثبت درخواست و تعیین مبلغ وام مورد نیاز.
-
بررسی سوابق بانکی و تأیید اعتبار توسط بانک.
-
پس از تأیید نهایی، مبلغ وام به حساب یارانه متقاضی واریز میشود.
پس از واریز، اقساط ماهانه بهصورت خودکار از حساب یارانه فرد برداشت میشود.
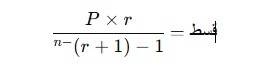
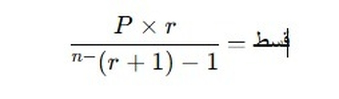
فرمول و محاسبه اقساط وام یارانه ۴۰۰ میلیونی
در صورت دریافت وام ۴۰۰ میلیون تومانی با نرخ سود ۱۸ درصد و بازپرداخت ۳۶ ماهه،
قسط ماهانه حدود ۱۶,۲۱۰,۰۰۰ تومان خواهد بود.
فرمول محاسبه قسط ماهانه:
که در آن:
-
P: مبلغ وام (۴۰۰,۰۰۰,۰۰۰ تومان)
-
r: نرخ سود ماهانه (۰٫۰۱۵)
-
n: تعداد اقساط (۳۶ ماه)
شرایط لازم برای دریافت وام
تمامی یارانهبگیران واجد شرایط نمیتوانند بهصورت خودکار این وام را دریافت کنند. متقاضیان باید:
-
در سیستم اعتبارسنجی بانکی نمره مثبت داشته باشند.
-
چک برگشتی یا بدهی بانکی تسویهنشده نداشته باشند.
-
یارانه آنها فعال و غیرمسدود باشد.
سوالات متداول درباره وام ۴۰۰ میلیونی با کارت یارانه
آیا واقعاً میتوان بدون ضامن وام ۴۰۰ میلیونی گرفت؟
بله، در این طرح کارت یارانه یا سهام عدالت بهعنوان وثیقه استفاده میشود و نیازی به ضامن رسمی نیست.
آیا افراد بدون یارانه یا سهام عدالت میتوانند وام بگیرند؟
خیر، فقط سرپرستان خانواری که یارانه یا سهام عدالت فعال دارند، مشمول طرح هستند.
آیا این وام برای همه خانوارها در دسترس است؟
خیر، تنها خانوارهای دهکهای پایین (۱ تا ۳) میتوانند از آن استفاده کنند.
مزایا و چالشهای وام یارانهای
مزایا:
-
حذف نیاز به ضامن رسمی
-
تسهیل دریافت تسهیلات برای اقشار ضعیف
-
نرخ کارمزد پایینتر نسبت به سایر وامها
-
استفاده از یارانه نقدی بهعنوان وثیقه
چالشها:
-
محدود بودن سهمیه بانکی
-
نیاز به اعتبارسنجی دقیق
-
بازپرداخت نسبتاً سنگین ماهانه برای برخی خانوارها




